##图的定义:
图(graph)由顶点(vertex)和边(edge)的集合组成,每一条边就是一个点对(v,w)。
图的种类:地图,电路图,调度图,事物,网络,程序结构
图的属性:有V个顶点的图最多有V*(V-1)/2条边

###邻接矩阵:
邻接矩阵是一个元素为bool值的VV矩阵,若图中存在一条连接顶点V和W的边,折矩阵adj[v][w]=1,否则为0。占用的空间为VV,当图是稠密时,邻接矩阵是比较合适的表达方法。

###邻接表的表示
对于非稠密的图,使用邻接矩阵有点浪费存储空间,可以使用邻接表,我们维护一个链表向量,给定一个顶点时,可以立即访问其链表,占用的空间为O(V+E)。

##深度优先搜索
###深度优先搜索介绍
图的深度优先搜索(Depth First Search),和树的先序遍历比较类似。
它的思想:假设初始状态是图中所有顶点均未被访问,则从某个顶点v出发,首先访问该顶点,然后依次从它的各个未被访问的邻接点出发深度优先搜索遍历图,直至图中所有和v有路径相通的顶点都被访问到。 若此时尚有其他顶点未被访问到,则另选一个未被访问的顶点作起始点,重复上述过程,直至图中所有顶点都被访问到为止。
显然,深度优先搜索是一个递归的过程。
###深度优先搜索图解
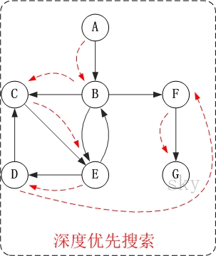
####无向图的深度优先搜索
下面以”无向图”为例,来对深度优先搜索进行演示。
对上面的图G1进行深度优先遍历,从顶点A开始。

- 第1步:访问A。
-
第2步:访问(A的邻接点)C。
在第1步访问A之后,接下来应该访问的是A的邻接点,即”C,D,F”中的一个。但在本文的实现中,顶点ABCDEFG是按照顺序存储,C在”D和F”的前面,因此,先访问C。
-
第3步:访问(C的邻接点)B。
在第2步访问C之后,接下来应该访问C的邻接点,即”B和D”中一个(A已经被访问过,就不算在内)。而由于B在D之前,先访问B。
-
第4步:访问(C的邻接点)D。
在第3步访问了C的邻接点B之后,B没有未被访问的邻接点;因此,返回到访问C的另一个邻接点D。
-
第5步:访问(A的邻接点)F。
前面已经访问了A,并且访问完了”A的邻接点B的所有邻接点(包括递归的邻接点在内)”;因此,此时返回到访问A的另一个邻接点F。
-
第6步:访问(F的邻接点)G。
- 第7步:访问(G的邻接点)E。
因此访问顺序是:A -> C -> B -> D -> F -> G -> E
####有向图的深度优先搜索
下面以”有向图”为例,来对深度优先搜索进行演示。
对上面的图G2进行深度优先遍历,从顶点A开始。

- 第1步:访问A。
-
第2步:访问B。
在访问了A之后,接下来应该访问的是A的出边的另一个顶点,即顶点B。
-
第3步:访问C。
在访问了B之后,接下来应该访问的是B的出边的另一个顶点,即顶点C,E,F。在本文实现的图中,顶点ABCDEFG按照顺序存储,因此先访问C。
-
第4步:访问E。
接下来访问C的出边的另一个顶点,即顶点E。
-
第5步:访问D。
接下来访问E的出边的另一个顶点,即顶点B,D。顶点B已经被访问过,因此访问顶点D。
-
第6步:访问F。
接下应该回溯”访问A的出边的另一个顶点F”。
- 第7步:访问G。
因此访问顺序是:A -> B -> C -> E -> D -> F -> G
##广度优先搜索
###广度优先搜索介绍
广度优先搜索算法(Breadth First Search),又称为”宽度优先搜索”或”横向优先搜索”,简称BFS。
它的思想是:从图中某顶点v出发,在访问了v之后依次访问v的各个未曾访问过的邻接点,然后分别从这些邻接点出发依次访问它们的邻接点,并使得“先被访问的顶点的邻接点先于后被访问的顶点的邻接点被访问,直至图中所有已被访问的顶点的邻接点都被访问到。如果此时图中尚有顶点未被访问,则需要另选一个未曾被访问过的顶点作为新的起始点,重复上述过程,直至图中所有顶点都被访问到为止。
换句话说,广度优先搜索遍历图的过程是以v为起点,由近至远,依次访问和v有路径相通且路径长度为1,2…的顶点。
广度优先搜索图解
####无向图的广度优先搜索
下面以”无向图”为例,来对广度优先搜索进行演示。还是以上面的图G1为例进行说明。

- 第1步:访问A。
-
第2步:依次访问C,D,F。
在访问了A之后,接下来访问A的邻接点。前面已经说过,在本文实现中,顶点ABCDEFG按照顺序存储的,C在”D和F”的前面,因此,先访问C。再访问完C之后,再依次访问D,F。
-
第3步:依次访问B,G。
在第2步访问完C,D,F之后,再依次访问它们的邻接点。首先访问C的邻接点B,再访问F的邻接点G。
-
第4步:访问E。
在第3步访问完B,G之后,再依次访问它们的邻接点。只有G有邻接点E,因此访问G的邻接点E。
因此访问顺序是:A -> C -> D -> F -> B -> G -> E
####有向图的广度优先搜索
下面以”有向图”为例,来对广度优先搜索进行演示。还是以上面的图G2为例进行说明。

-
第1步:访问A。
- 第2步:访问B。
-
第3步:依次访问C,E,F。
在访问了B之后,接下来访问B的出边的另一个顶点,即C,E,F。前面已经说过,在本文实现中,顶点ABCDEFG按照顺序存储的,因此会先访问C,再依次访问E,F。
-
第4步:依次访问D,G。
在访问完C,E,F之后,再依次访问它们的出边的另一个顶点。还是按照C,E,F的顺序访问,C的已经全部访问过了,那么就只剩下E,F;先访问E的邻接点D,再访问F的邻接点G。
因此访问顺序是:A -> B -> C -> E -> F -> D -> G
##搜索算法的源码
1.邻接矩阵表示的”无向图
/**
* C++: 邻接矩阵表示的"无向图(Matrix Undirected Graph)"
*
* @author LippiOuYang
* @date 2013/04/19
*/
#include <iomanip>
#include <iostream>
#include <vector>
using namespace std;
#define MAX 100
class MatrixUDG {
private:
char mVexs[MAX]; // 顶点集合
int mVexNum; // 顶点数
int mEdgNum; // 边数
int mMatrix[MAX][MAX]; // 邻接矩阵
public:
// 创建图(自己输入数据)
MatrixUDG();
// 创建图(用已提供的矩阵)
MatrixUDG(char vexs[], int vlen, char edges[][2], int elen);
~MatrixUDG();
// 深度优先搜索遍历图
void DFS();
// 广度优先搜索(类似于树的层次遍历)
void BFS();
// 打印矩阵队列图
void print();
private:
// 读取一个输入字符
char readChar();
// 返回ch在mMatrix矩阵中的位置
int getPosition(char ch);
// 返回顶点v的第一个邻接顶点的索引,失败则返回-1
int firstVertex(int v);
// 返回顶点v相对于w的下一个邻接顶点的索引,失败则返回-1
int nextVertex(int v, int w);
// 深度优先搜索遍历图的递归实现
void DFS(int i, int *visited);
};
/*
* 创建图(自己输入数据)
*/
MatrixUDG::MatrixUDG()
{
char c1, c2;
int i, p1, p2;
// 输入"顶点数"和"边数"
cout << "input vertex number: ";
cin >> mVexNum;
cout << "input edge number: ";
cin >> mEdgNum;
if ( mVexNum < 1 || mEdgNum < 1 || (mEdgNum > (mVexNum * (mVexNum-1))))
{
cout << "input error: invalid parameters!" << endl;
return ;
}
// 初始化"顶点"
for (i = 0; i < mVexNum; i++)
{
cout << "vertex(" << i << "): ";
mVexs[i] = readChar();
}
// 初始化"边"
for (i = 0; i < mEdgNum; i++)
{
// 读取边的起始顶点和结束顶点
cout << "edge(" << i << "): ";
c1 = readChar();
c2 = readChar();
p1 = getPosition(c1);
p2 = getPosition(c2);
if (p1==-1 || p2==-1)
{
cout << "input error: invalid edge!" << endl;
return ;
}
mMatrix[p1][p2] = 1;
mMatrix[p2][p1] = 1;
}
}
/*
* 创建图(用已提供的矩阵)
*
* 参数说明:
* vexs -- 顶点数组
* vlen -- 顶点数组的长度
* edges -- 边数组
* elen -- 边数组的长度
*/
MatrixUDG::MatrixUDG(char vexs[], int vlen, char edges[][2], int elen)
{
int i, p1, p2;
// 初始化"顶点数"和"边数"
mVexNum = vlen;
mEdgNum = elen;
// 初始化"顶点"
for (i = 0; i < mVexNum; i++)
mVexs[i] = vexs[i];
// 初始化"边"
for (i = 0; i < mEdgNum; i++)
{
// 读取边的起始顶点和结束顶点
p1 = getPosition(edges[i][0]);
p2 = getPosition(edges[i][1]);
mMatrix[p1][p2] = 1;
mMatrix[p2][p1] = 1;
}
}
/*
* 析构函数
*/
MatrixUDG::~MatrixUDG()
{
}
/*
* 返回ch在mMatrix矩阵中的位置
*/
int MatrixUDG::getPosition(char ch)
{
int i;
for(i=0; i<mVexNum; i++)
if(mVexs[i]==ch)
return i;
return -1;
}
/*
* 读取一个输入字符
*/
char MatrixUDG::readChar()
{
char ch;
do {
cin >> ch;
} while(!((ch>='a'&&ch<='z') || (ch>='A'&&ch<='Z')));
return ch;
}
/*
* 返回顶点v的第一个邻接顶点的索引,失败则返回-1
*/
int MatrixUDG::firstVertex(int v)
{
int i;
if (v<0 || v>(mVexNum-1))
return -1;
for (i = 0; i < mVexNum; i++)
if (mMatrix[v][i] == 1)
return i;
return -1;
}
/*
* 返回顶点v相对于w的下一个邻接顶点的索引,失败则返回-1
*/
int MatrixUDG::nextVertex(int v, int w)
{
int i;
if (v<0 || v>(mVexNum-1) || w<0 || w>(mVexNum-1))
return -1;
for (i = w + 1; i < mVexNum; i++)
if (mMatrix[v][i] == 1)
return i;
return -1;
}
/*
* 深度优先搜索遍历图的递归实现
*/
void MatrixUDG::DFS(int i, int *visited)
{
int w;
visited[i] = 1;
cout << mVexs[i] << " ";
// 遍历该顶点的所有邻接顶点。若是没有访问过,那么继续往下走
for (w = firstVertex(i); w >= 0; w = nextVertex(i, w))
{
if (!visited[w])
DFS(w, visited);
}
}
/*
* 深度优先搜索遍历图
*/
void MatrixUDG::DFS()
{
int i;
int visited[MAX]; // 顶点访问标记
// 初始化所有顶点都没有被访问
for (i = 0; i < mVexNum; i++)
visited[i] = 0;
cout << "DFS: ";
for (i = 0; i < mVexNum; i++)
{
//printf("\n== LOOP(%d)\n", i);
if (!visited[i])
DFS(i, visited);
}
cout << endl;
}
/*
* 广度优先搜索(类似于树的层次遍历)
*/
void MatrixUDG::BFS()
{
int head = 0;
int rear = 0;
int queue[MAX]; // 辅组队列
int visited[MAX]; // 顶点访问标记
int i, j, k;
for (i = 0; i < mVexNum; i++)
visited[i] = 0;
cout << "BFS: ";
for (i = 0; i < mVexNum; i++)
{
if (!visited[i])
{
visited[i] = 1;
cout << mVexs[i] << " ";
queue[rear++] = i; // 入队列
}
while (head != rear)
{
j = queue[head++]; // 出队列
for (k = firstVertex(j); k >= 0; k = nextVertex(j, k)) //k是为访问的邻接顶点
{
if (!visited[k])
{
visited[k] = 1;
cout << mVexs[k] << " ";
queue[rear++] = k;
}
}
}
}
cout << endl;
}
/*
* 打印矩阵队列图
*/
void MatrixUDG::print()
{
int i,j;
cout << "Martix Graph:" << endl;
for (i = 0; i < mVexNum; i++)
{
for (j = 0; j < mVexNum; j++)
cout << mMatrix[i][j] << " ";
cout << endl;
}
}
int main()
{
char vexs[] = {'A', 'B', 'C', 'D', 'E', 'F', 'G'};
char edges[][2] = {
{'A', 'C'},
{'A', 'D'},
{'A', 'F'},
{'B', 'C'},
{'C', 'D'},
{'E', 'G'},
{'F', 'G'}};
int vlen = sizeof(vexs)/sizeof(vexs[0]);
int elen = sizeof(edges)/sizeof(edges[0]);
MatrixUDG* pG;
// 自定义"图"(输入矩阵队列)
//pG = new MatrixUDG();
// 采用已有的"图"
pG = new MatrixUDG(vexs, vlen, edges, elen);
pG->print(); // 打印图
pG->DFS(); // 深度优先遍历
pG->BFS(); // 广度优先遍历
return 0;
} 2.邻接表表示的"无向图
/**
* C++: 邻接表表示的"无向图(List Undirected Graph)"
*
* @author LippiOuYang
* @date 2013/04/19
*/
#include <iomanip>
#include <iostream>
#include <vector>
using namespace std;
#define MAX 100
// 邻接表
class ListUDG
{
private: // 内部类
// 邻接表中表对应的链表的顶点
class ENode
{
public:
int ivex; // 该边所指向的顶点的位置
ENode *nextEdge; // 指向下一条弧的指针
};
// 邻接表中表的顶点
class VNode
{
public:
char data; // 顶点信息
ENode *firstEdge; // 指向第一条依附该顶点的弧
};
private: // 私有成员
int mVexNum; // 图的顶点的数目
int mEdgNum; // 图的边的数目
VNode mVexs[MAX];
public:
// 创建邻接表对应的图(自己输入)
ListUDG();
// 创建邻接表对应的图(用已提供的数据)
ListUDG(char vexs[], int vlen, char edges[][2], int elen);
~ListUDG();
// 深度优先搜索遍历图
void DFS();
// 广度优先搜索(类似于树的层次遍历)
void BFS();
// 打印邻接表图
void print();
private:
// 读取一个输入字符
char readChar();
// 返回ch的位置
int getPosition(char ch);
// 深度优先搜索遍历图的递归实现
void DFS(int i, int *visited);
// 将node节点链接到list的最后
void linkLast(ENode *list, ENode *node);
};
/*
* 创建邻接表对应的图(自己输入)
*/
ListUDG::ListUDG()
{
char c1, c2;
int v, e;
int i, p1, p2;
ENode *node1, *node2;
// 输入"顶点数"和"边数"
cout << "input vertex number: ";
cin >> mVexNum;
cout << "input edge number: ";
cin >> mEdgNum;
if ( mVexNum < 1 || mEdgNum < 1 || (mEdgNum > (mVexNum * (mVexNum-1))))
{
cout << "input error: invalid parameters!" << endl;
return ;
}
// 初始化"邻接表"的顶点
for(i=0; i<mVexNum; i++)
{
cout << "vertex(" << i << "): ";
mVexs[i].data = readChar();
mVexs[i].firstEdge = NULL;
}
// 初始化"邻接表"的边
for(i=0; i<mEdgNum; i++)
{
// 读取边的起始顶点和结束顶点
cout << "edge(" << i << "): ";
c1 = readChar();
c2 = readChar();
p1 = getPosition(c1);
p2 = getPosition(c2);
// 初始化node1
node1 = new ENode();
node1->ivex = p2;
// 将node1链接到"p1所在链表的末尾"
if(mVexs[p1].firstEdge == NULL)
mVexs[p1].firstEdge = node1;
else
linkLast(mVexs[p1].firstEdge, node1);
// 初始化node2
node2 = new ENode();
node2->ivex = p1;
// 将node2链接到"p2所在链表的末尾"
if(mVexs[p2].firstEdge == NULL)
mVexs[p2].firstEdge = node2;
else
linkLast(mVexs[p2].firstEdge, node2);
}
}
/*
* 创建邻接表对应的图(用已提供的数据)
*/
ListUDG::ListUDG(char vexs[], int vlen, char edges[][2], int elen)
{
char c1, c2;
int i, p1, p2;
ENode *node1, *node2;
// 初始化"顶点数"和"边数"
mVexNum = vlen;
mEdgNum = elen;
// 初始化"邻接表"的顶点
for(i=0; i<mVexNum; i++)
{
mVexs[i].data = vexs[i];
mVexs[i].firstEdge = NULL;
}
// 初始化"邻接表"的边
for(i=0; i<mEdgNum; i++)
{
// 读取边的起始顶点和结束顶点
c1 = edges[i][0];
c2 = edges[i][1];
p1 = getPosition(c1);
p2 = getPosition(c2);
// 初始化node1
node1 = new ENode();
node1->ivex = p2;
// 将node1链接到"p1所在链表的末尾"
if(mVexs[p1].firstEdge == NULL)
mVexs[p1].firstEdge = node1;
else
linkLast(mVexs[p1].firstEdge, node1);
// 初始化node2
node2 = new ENode();
node2->ivex = p1;
// 将node2链接到"p2所在链表的末尾"
if(mVexs[p2].firstEdge == NULL)
mVexs[p2].firstEdge = node2;
else
linkLast(mVexs[p2].firstEdge, node2);
}
}
/*
* 析构函数
*/
ListUDG::~ListUDG()
{
}
/*
* 将node节点链接到list的最后
*/
void ListUDG::linkLast(ENode *list, ENode *node)
{
ENode *p = list;
while(p->nextEdge)
p = p->nextEdge;
p->nextEdge = node;
}
/*
* 返回ch的位置
*/
int ListUDG::getPosition(char ch)
{
int i;
for(i=0; i<mVexNum; i++)
if(mVexs[i].data==ch)
return i;
return -1;
}
/*
* 读取一个输入字符
*/
char ListUDG::readChar()
{
char ch;
do {
cin >> ch;
} while(!((ch>='a'&&ch<='z') || (ch>='A'&&ch<='Z')));
return ch;
}
/*
* 深度优先搜索遍历图的递归实现
*/
void ListUDG::DFS(int i, int *visited)
{
ENode *node;
visited[i] = 1;
cout << mVexs[i].data << " ";
node = mVexs[i].firstEdge;
while (node != NULL)
{
if (!visited[node->ivex])
DFS(node->ivex, visited);
node = node->nextEdge;
}
}
/*
* 深度优先搜索遍历图
*/
void ListUDG::DFS()
{
int i;
int visited[MAX]; // 顶点访问标记
// 初始化所有顶点都没有被访问
for (i = 0; i < mVexNum; i++)
visited[i] = 0;
cout << "DFS: ";
for (i = 0; i < mVexNum; i++)
{
if (!visited[i])
DFS(i, visited);
}
cout << endl;
}
/*
* 广度优先搜索(类似于树的层次遍历)
*/
void ListUDG::BFS()
{
int head = 0;
int rear = 0;
int queue[MAX]; // 辅组队列
int visited[MAX]; // 顶点访问标记
int i, j, k;
ENode *node;
for (i = 0; i < mVexNum; i++)
visited[i] = 0;
cout << "BFS: ";
for (i = 0; i < mVexNum; i++)
{
if (!visited[i])
{
visited[i] = 1;
cout << mVexs[i].data << " ";
queue[rear++] = i; // 入队列
}
while (head != rear)
{
j = queue[head++]; // 出队列
node = mVexs[j].firstEdge;
while (node != NULL)
{
k = node->ivex;
if (!visited[k])
{
visited[k] = 1;
cout << mVexs[k].data << " ";
queue[rear++] = k;
}
node = node->nextEdge;
}
}
}
cout << endl;
}
/*
* 打印邻接表图
*/
void ListUDG::print()
{
int i,j;
ENode *node;
cout << "List Graph:" << endl;
for (i = 0; i < mVexNum; i++)
{
cout << i << "(" << mVexs[i].data << "): ";
node = mVexs[i].firstEdge;
while (node != NULL)
{
cout << node->ivex << "(" << mVexs[node->ivex].data << ") ";
node = node->nextEdge;
}
cout << endl;
}
}
int main()
{
char vexs[] = {'A', 'B', 'C', 'D', 'E', 'F', 'G'};
char edges[][2] = {
{'A', 'C'},
{'A', 'D'},
{'A', 'F'},
{'B', 'C'},
{'C', 'D'},
{'E', 'G'},
{'F', 'G'}};
int vlen = sizeof(vexs)/sizeof(vexs[0]);
int elen = sizeof(edges)/sizeof(edges[0]);
ListUDG* pG;
// 自定义"图"(输入矩阵队列)
//pG = new ListUDG();
// 采用已有的"图"
pG = new ListUDG(vexs, vlen, edges, elen);
pG->print(); // 打印图
pG->DFS(); // 深度优先遍历
pG->BFS(); // 广度优先遍历
return 0;
}
##迪杰斯特拉算法
迪杰斯特拉(Dijkstra)算法是典型最短路径算法,用于计算一个节点到其他节点的最短路径。 它的主要特点是以起始点为中心向外层层扩展(广度优先搜索思想),直到扩展到终点为止。
###基本思想
通过Dijkstra计算图G中的最短路径时,需要指定起点s(即从顶点s开始计算)。
此外,引进两个集合S和U。S的作用是记录已求出最短路径的顶点(以及相应的最短路径长度),而U则是记录还未求出最短路径的顶点(以及该顶点到起点s的距离)。
初始时,S中只有起点s;U中是除s之外的顶点,并且U中顶点的路径是”起点s到该顶点的路径”。然后,从U中找出路径最短的顶点,并将其加入到S中;接着,更新U中的顶点和顶点对应的路径。 然后,再从U中找出路径最短的顶点,并将其加入到S中;接着,更新U中的顶点和顶点对应的路径。 … 重复该操作,直到遍历完所有顶点。
###操作步骤
- (1) 初始时,S只包含起点s;U包含除s外的其他顶点,且U中顶点的距离为”起点s到该顶点的距离”[例如,U中顶点v的距离为(s,v)的长度,然后s和v不相邻,则v的距离为∞]。
- (2) 从U中选出”距离最短的顶点k”,并将顶点k加入到S中;同时,从U中移除顶点k。
- (3) 更新U中各个顶点到起点s的距离。之所以更新U中顶点的距离,是由于上一步中确定了k是求出最短路径的顶点,从而可以利用k来更新其它顶点的距离;例如,(s,v)的距离可能大于(s,k)+(k,v)的距离。
- (4) 重复步骤(2)和(3),直到遍历完所有顶点。
单纯的看上面的理论可能比较难以理解,下面通过实例来对该算法进行说明。
5.3迪杰斯特拉算法图解
以上图G4为例,来对迪杰斯特拉进行算法演示(以第4个顶点D为起点)。

-
初始状态:S是已计算出最短路径的顶点集合,U是未计算除最短路径的顶点的集合!
-
第1步:将顶点D加入到S中。
此时,S={D(0)}, U={A(∞),B(∞),C(3),E(4),F(∞),G(∞)}。 注:C(3)表示C到起点D的距离是3。
-
第2步:将顶点C加入到S中。
上一步操作之后,U中顶点C到起点D的距离最短;因此,将C加入到S中,同时更新U中顶点的距离。以顶点F为例,之前F到D的距离为∞;但是将C加入到S之后,F到D的距离为9=(F,C)+(C,D)。 此时,S={D(0),C(3)}, U={A(∞),B(23),E(4),F(9),G(∞)}。
-
第3步:将顶点E加入到S中。
上一步操作之后,U中顶点E到起点D的距离最短;因此,将E加入到S中,同时更新U中顶点的距离。还是以顶点F为例,之前F到D的距离为9;但是将E加入到S之后,F到D的距离为6=(F,E)+(E,D)。 此时,S={D(0),C(3),E(4)}, U={A(∞),B(23),F(6),G(12)}。
-
第4步:将顶点F加入到S中。
此时,S={D(0),C(3),E(4),F(6)}, U={A(22),B(13),G(12)}。
-
第5步:将顶点G加入到S中。
此时,S={D(0),C(3),E(4),F(6),G(12)}, U={A(22),B(13)}。
-
第6步:将顶点B加入到S中。
此时,S={D(0),C(3),E(4),F(6),G(12),B(13)}, U={A(22)}。
-
第7步:将顶点A加入到S中。
此时,S={D(0),C(3),E(4),F(6),G(12),B(13),A(22)}。
此时,起点D到各个顶点的最短距离就计算出来了:A(22) B(13) C(3) D(0) E(4) F(6) G(12)。
###代码
本文以”邻接矩阵”为例对迪杰斯特拉算法进行说明, ####基本定义
// 邻接矩阵
typedef struct _graph
{
char vexs[MAX]; // 顶点集合
int vexnum; // 顶点数
int edgnum; // 边数
int matrix[MAX][MAX]; // 邻接矩阵
}Graph, *PGraph;
// 边的结构体
typedef struct _EdgeData
{
char start; // 边的起点
char end; // 边的终点
int weight; // 边的权重
}EData;
Graph是邻接矩阵对应的结构体。 vexs用于保存顶点,vexnum是顶点数,edgnum是边数;matrix则是用于保存矩阵信息的二维数组。例如,matrix[i][j]=1,则表示”顶点i(即vexs[i])”和”顶点j(即vexs[j])”是邻接点;matrix[i][j]=0,则表示它们不是邻接点。 EData是邻接矩阵边对应的结构体。
####迪杰斯特拉算法
/*
* Dijkstra最短路径。
* 即,统计图(G)中"顶点vs"到其它各个顶点的最短路径。
*
* 参数说明:
* G -- 图
* vs -- 起始顶点(start vertex)。即计算"顶点vs"到其它顶点的最短路径。
* prev -- 前驱顶点数组。即,prev[i]的值是"顶点vs"到"顶点i"的最短路径所经历的全部顶点中,位于"顶点i"之前的那个顶点。
* dist -- 长度数组。即,dist[i]是"顶点vs"到"顶点i"的最短路径的长度。
*/
void dijkstra(Graph G, int vs, int prev[], int dist[])
{
int i,j,k;
int min;
int tmp;
int flag[MAX]; // flag[i]=1表示"顶点vs"到"顶点i"的最短路径已成功获取。
// 初始化
for (i = 0; i < G.vexnum; i++)
{
flag[i] = 0; // 顶点i的最短路径还没获取到。
prev[i] = 0; // 顶点i的前驱顶点为0。
dist[i] = G.matrix[vs][i];// 顶点i的最短路径为"顶点vs"到"顶点i"的权。
}
// 对"顶点vs"自身进行
初始化
flag[vs] = 1;
dist[vs] = 0;
// 遍历G.vexnum-1次;每次找出一个顶点的最短路径。
for (i = 1; i < G.vexnum; i++)
{
// 寻找当前最小的路径;
// 即,在未获取最短路径的顶点中,找到离vs最近的顶点(k)。
min = INF;
for (j = 0; j < G.vexnum; j++)
{
if (flag[j]==0 && dist[j]<min)
{
min = dist[j];
k = j;
}
}
// 标记"顶点k"为已经获取到最短路径
flag[k] = 1;
// 修正当前最短路径和前驱顶点
// 即,当已经"顶点k的最短路径"之后,更新"未获取最短路径的顶点的最短路径和前驱顶点"。
for (j = 0; j < G.vexnum; j++)
{
tmp = (G.matrix[k][j]==INF ? INF : (min + G.matrix[k][j])); // 防止溢出
if (flag[j] == 0 && (tmp < dist[j]) )
{
dist[j] = tmp;
prev[j] = k;
}
}
}
// 打印dijkstra最短路径的结果
printf("dijkstra(%c): \n", G.vexs[vs]);
for (i = 0; i < G.vexnum; i++)
printf(" shortest(%c, %c)=%d\n", G.vexs[vs], G.vexs[i], dist[i]);
}